-1-
-2-
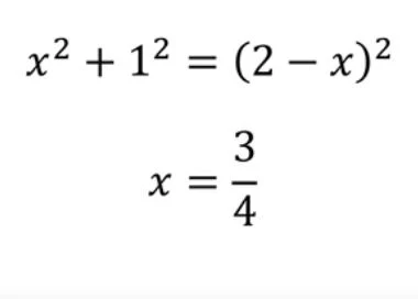
ا مساحة الشكل المضلل باللون الازرق
الاجابة بدون تحليل ملغاة
و بالتوفيق للجميع1
مساحة المثلثين اللون الابيض =8 /3+ 8 /3=8 /6=4 /3وحدة مربعة
مساحة المظللة بالازرق =2 _4 /3=4/ 5= 5 2 ,1وحدة مربعة
-3-
-4-
