-->

آخر الأخبار

جاري التحميل ...

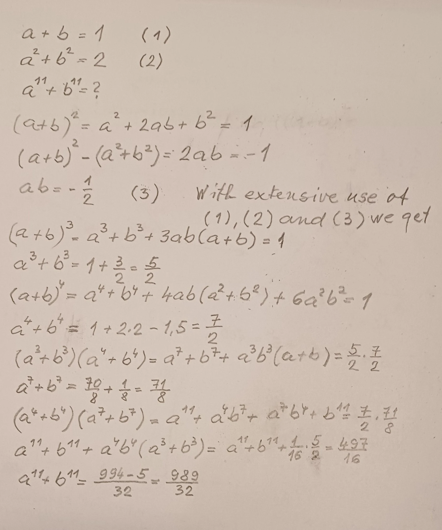
a^11+b^11=

-1-
-2-





 ----------------------------------



110

---------------

1
-----------
ماهو العدد الدي جدره التربيعي يساوي ضعف جدره التكعيبي

64

-3-
-4-

التعليقات



إذا أعجبك محتوى مدونتنا نتمنى البقاء على تواصل دائم ، فقط قم بإدخال بريدك الإلكتروني للإشتراك في بريد المدونة السريع ليصلك جديد المدونة أولاً بأول ، كما يمكنك إرسال رساله بالضغط على الزر المجاور ...

إتصل بنا

جميع الحقوق محفوظة

مدونة كورس 7

2021