-1-
-2-
Introduction to Algebra
1. In algebra, we substitute number with letters or alphabets to arrive at a solution.
2. We use letters like x,m,a,b,etc. to represent unknown quantities in the equation.
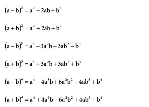
Important Algebraic Formulae
1. (a + b)2= a2+2ab+ b2
2. (a - b)2
a2-2ab+b2
3. a2 b2 = (a + b)(a - b)
4. a2 + b2 = (a + b)2 - 2ab
= (a - b)2 + 2ab
5. (a + b)3 = a3 +3a2b+3ab2 + b3
6. (a - b)
a3-3a2b+3ab2 - b3
7. a3 + b3 = (a + b) (a2 - ab + b2)
8. a3 - b3 = (a - b) (a2 + ab + b2)
9. (a + b)2- (a - b)2 = 4ab
10. (a+b+c)2=a2+ b2 + c2+2ab+ 2bc + 2ac
11. a3 + b3 + c3 - 3abc = (a + b + c) (a2 + b2 + c2 - ab - bc - ac)
12. if a + b + c = 0 then a3 + b2 + c3 = 3abc
13. a + a2 + 1 = (a2 + a + 1) (a2 - a + 1)
14. a* + a2b2 + b = (a2 + ab + b2) (a2 - ab + b2)
15. a4 b4 (a2+ b2) (a + b) (a - b)
16. a - b = (a + b) (a2 + b2) (a + b)(a - b)
17. am xa" = am+n
am
18. =am-n
an
19. (am) amxn
20. (ab)* = a*b*
21. (2)
=
22. a*= x/a
a*
-3-
-4-

